51暗网
毕业要求达成度评价机制和实施办法
为有效评价毕业要求的达成情况,对各专业的毕业要求进行多维度的评价,检验和判断专业人才培养质量是否达到预期标准,分析学生各项能力的长处和短板,为专业教育教学的持续改进提供依据。特制定51暗网
毕业要求达成度评价机制和实施办法。
一、评价对象
51暗网
毕业要求达成度评价对象是51暗网
各专业每一届当年所有取得毕业证书的毕业生。
二、评价组织及职责
51暗网
教授委员会教学工作组负责,由学院主管教学副院长、专业建设负责人、课程负责人、任课教师代表组成本专业毕业要求达成度评价工作小组,定期对毕业要求的达成度进行分析评价。
毕业生调查信息由学院学工部门负责发放调查问卷,并完成回收统计工作。
专业建设负责人全面负责本专业毕业生的毕业要求达成度评价组织开展专业毕业要求达成度评价工作;
课程负责人负责提供毕业要求达成度评价所需的课程目标达成度等基础数据;
辅导员和教学秘书协助专业负责人开展毕业要求达成度的评价工作,主要职责是收集、登记、整理、转送、保管各类学生学业成绩资料和评价反馈材料等;
专业建设负责人会同专业骨干教师开展毕业要求达成度反馈信息的分析总结工作,依据各类数据分析和调研的结果,分析学生各项能力的长处和短板,研讨并形成专业持续改进方案。
51暗网
毕业要求达成度评价工作小组工作具体职责如表1所示。
表1.51暗网
各专业毕业要求达成度评价工作小组的工作职责
序号 |
评价活动 |
相关责任人/机构 |
1 |
统筹协调评价工作 |
教学副院长、专业建设负责人 |
2 |
制定各专业毕业要求达成度评价标准与具体评价方法 |
学院教授委员会教学工作组 |
3 |
组织学院各专业毕业要求达成度评价工作,实施毕业要求达成度评估、收集并整理反馈信息 |
教学副院长、党委副书记、专业建设负责人、课程负责人、专业骨干教师、辅导员、教学秘书 |
4 |
毕业要求达成度数据分析、研讨并形成专业持续改进方案 |
专业建设负责人、专业骨干教师 |
三、评价周期与方法
3.1、评价周期
学院要求各专业对每一届毕业生均开展毕业要求达成度评价的定性定量评价工作,评价时间为每年7月。同时,每四年对当年应届毕业生开展毕业要求达成度的综合评价工作,用于对课程体系修订的持续改进。
3.2、评价方法
毕业要求达成度采用定量评价和定性评价相结合的方法,包括基于课程目标达成度定量评价法及基于毕业生/教师问卷调查的定性评价法,用人单位调研
1.基于课程目标达成度的定量评价法
评价依据:支撑毕业要求的课程目标达成度评价结果。
评价流程:
(1)权重分配
由教学指导委员会对支撑各条毕业要求的课程进行权重分配,支撑各条毕业要求二级指标点的所有课程权重之和须为1;权重分配应按照该课程对毕业要求能力达成的贡献度进行赋值。
(2)计算各项毕业要求指标点的达成度评价值
设第m项毕业要求指标点的达成度Pm由N门课程支持,其中,第i门课程的课程目标达成度为Ci、权重为Wi,则第m项毕业要求指标点的达成度评价值按式(1)进行计算:

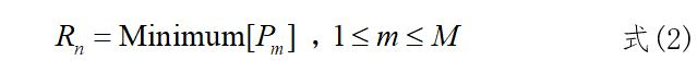
(3)计算各项毕业要求达成度评价值
某项毕业要求达成度评价值的计算方法为:取该项毕业要求各指标点达成度最小值作为该项毕业要求达成度的评价值。设第n项毕业要求达成度评价值为Rn,其计算方法如式(2)所示:

式中,M为支撑第n项毕业要求的指标点个数。
(4)毕业要求达成度的合格标准
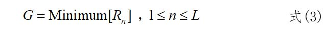
设某专业毕业要求共有L项,取L项毕业要求达成度的最小值,作为专业的毕业要求达成度G,如式(3)所示:

各专业的毕业要求达成度的最小值建议不低于0.65,作为合格标准。各专业应对毕业要求达成度总体评价值进行分析,以便形成合理的专业持续改进方案。
2.基于毕业生/教师问卷调查及调研的定性评价法
各专业可以根据本专业毕业要求各指标点设计能力评价类的问题,通过在毕业生和专业任课教师中开展问卷调查法获得毕业生的评价结果;也可以通过召开毕业生座谈会、调研毕业生实习单位等方法,调研毕业生的能力达成情况。
四、评价结果的分析与反馈
各专业在认真分析和总结本专业毕业要求达成度总体评价结果的基础上,形成《**专业**届毕业要求达成度评价分析及持续改进报告》。该分析报告应针对每一条毕业要求的达成情况进行全面分析和总结,并针对发现的问题提出持续改进的意见和建议。报告由各专业责任人提交给学院,学院组织院教授委员会教学工作组对各专业的毕业要求达成度评价进行审核。
五、评价结果的利用
结合毕业要求达成度评价,各专业指导委员会对各相关课程提出整改意见,并对本专业课程体系的修订提出建议,对专业培养方案和专业教学进行持续改进。
51暗网
2019年8月31日